“
本系列文章的第三部分阐述了一种用于电流模式控制开关电源的简单环路补偿设计方法。这种控制架构广泛用于电源管理解决方案,包括ADI公司的许多电源产品。
”
作者:Henry Zhang,ADI公司院士
摘要
本系列文章的第三部分阐述了一种用于电流模式控制开关电源的简单环路补偿设计方法。这种控制架构广泛用于电源管理解决方案,包括ADI公司的许多电源产品。支持使用简单的2型补偿网络来设计和优化电源反馈回路,可确保瞬态响应迅速且稳定性裕量充足。本文介绍了基本环路设计概念,清晰地解释了2型补偿网络,并探讨了每个补偿元件的作用。环路设计过程可以简化为三个直截了当的步骤。此外,LTpowerCAD®设计工具还能进一步简化环路设计和优化过程。
简介 - 基本概念
开关模式电源广泛应用于现代电子系统,能够实现高效率和高功率密度。对于经验不足的系统工程师而言,电源环路补偿设计优化可能是一项十分重要但又充满挑战的任务。ADI公司的大部分开关模式稳压器采用电流模式控制架构来实现高性能和高可靠性。例如,图1为一种常用电流模式控制降压转换器的基本反馈环路框图1。该架构包含了内部电流检测环路和外部输出电压调节环路。内部电流检测环路强制电感电流跟随ITH节点处的补偿网络输出电压,这样,电感在概念上就变成了由电压环路误差放大器输出VITH控制的电流源。相应地,包括电流环路在内的降压转换器功率级在低于电流环路带宽的较低频率下表现为单极点系统。因此,简单的2型补偿网络足以优化电源环路稳定性和瞬态性能。在图1中,2型补偿网络示例就是误差运算放大器输出ITH引脚上的RTH、CTH和CTHP网络。

图1.峰值电流模式降压转换器框图,包含内部电流环路、外部电压调节环路和ITH引脚上的2型补偿网络。

图2.电源环路增益示意图。
图2为电源环路增益概念图。KREF是从电源输出VO到FB引脚的反馈电阻分压器网络增益。A(s)是从FB引脚到ITH引脚的电压环路补偿误差放大器网络增益。GCV(s)是从误差放大器输出节点VITH到电源输出电压Vo的功率级转换函数,包括内部电流环路。因此,总电源环路增益T(s)可通过公式1计算:

开关电源环路设计和优化目标
优化的电源环路设计应具有高环路带宽,以实现快速瞬态响应,同时保持足够的稳定性裕量。此外,对于开关电源而言,必须衰减反馈环路中的开关噪声,以尽量减少开关波形抖动。总的来说,电源环路设计的关键目标如下:
2型补偿网络的直观理解
为了设计和优化补偿网络,电源设计人员首先需要了解每个补偿元件的R或C值对环路增益和负载瞬态响应的影响。如图3所示,2型补偿网络包括:一个典型跨导误差放大器(即电压控制电流源),其增益为gm;放大器寄生输出电阻R0;以及包含RTH、CTH和CTHP的补偿网络。这三个关键的ITH引脚R/C元件用于调整补偿增益A(s),从而决定电源环路增益带宽、稳定性裕量和瞬态响应性能。

图3.2型补偿网络及其增益A(s)。
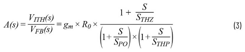
补偿增益A(s)的定义如公式2所示。

对于给定控制器IC,其内部gm和R0是固定的,因此由RTH、CTH和CTHP组成的网络的阻抗ZITH(s)决定了补偿增益A(s)。ADI应用笔记AN149给出了详细的公式推导过程(见公式3):1

其中

电源设计人员不需要记住这个A(s)公式,而只需通过观察图4中概念曲线所展示的ZITH阻抗随频率的变化情况,以直观的方式理解补偿增益。

图4.ZITH(s)(包括RO)幅度随频率变化的概念波特图(CTH>>CTHP)。
对于图4的概念曲线,从左到右看,频率从较低值增加到较高值,可以划分为以下范围:
范围1:从直流到低频极点fP1,所有电容均被视为高阻抗开路。因此,ZITH幅度由误差放大器寄生输出电阻RO决定,该电阻通常是一个非常大的值(约MΩ量级)。在此范围内,误差放大器A(s)表现为平坦的高直流增益,等于gm × R0。
范围2:随着频率增加,第一个CTH电容阻抗开始下降(注意CTH>>CTHP,因此CTHP阻抗仍然非常高)。在频率fP1处,CTH阻抗幅度与RO相当。在fP1之后,随着频率进一步增加,CTH阻抗决定总ZITH阻抗。
范围3:随着频率进一步增加,CTH阻抗幅度最终下降到接近串联路径中RTH的值。此后,RTH值主导总ZITH值,并使其在此范围内保持平坦。CTH和RTH阻抗值彼此接近的转折频率定义为“零点频率fZ1”。目标电源环路带宽fBW通常设置在频率范围3之内。
范围4:随着频率进一步增加,较小的并联CTHP阻抗最终下降到与RTH值相当的值。此后,ZITH幅度由CTHP阻抗决定。RTH和CTHP阻抗彼此接近的转折频率定义为“第二高频极点fP2”。当需要时,此高频极点应位于电源开关频率fSW以下,以便衰减开关噪声。
以上内容表明,在不同频率范围,ZITH阻抗幅度是由每个不同的R或C元件决定。这一现象有助于我们了解每个元件对电源环路增益和瞬态响应的影响。
各补偿元件如何影响环路增益和瞬态响应?
通常,补偿网络的设计会使电源环路带宽fBW位于频率范围3内的零点fZ1和极点fP2之间。在此范围内,ZITH幅度由RTH值决定。也就是说,RTH值直接决定了电源环路带宽fBW。图5说明,增加RTH值可以提高fZ1和fP1之间的补偿增益A(s)。因此,RTH越大,环路带宽就越高,如图6a所示。提高环路带宽通常可以降低负载瞬变期间电源VOUT的下冲和过冲幅度,如图6b所示,而瞬变事件后的VOUT建立时间不会有太大变化。

图5.增加RTH会提高fZ1和fP2之间的补偿增益A(s)。

图6.增加RTH会提高电源环路带宽,从而降低负载瞬变期间的VOUT下冲和过冲。
在典型设计中,补偿电容CTH应仅影响fP1和fZ1之间的频率范围2中的环路增益。图7显示,减小CTH值(阻抗更高)会提高频率范围2中的A(s)增益。图8显示,减小CTH不会影响电源环路带宽,因此对负载瞬态期间的VOUT下冲和过冲幅度影响较小。然而,CTH在较低的频率范围2中具有较高的增益,所以较小CTH的有助于缩短瞬态建立时间。

图7.减小CTH会提高fZ1和fP1之间的频率范围2中的补偿增益A(s)。

图8.减小CTH会提高较低频率下的电源环路增益,因此会缩短负载瞬变期间的VOUT建立时间,而不会影响VOUT下冲/过冲尖峰。
CTHP通常采用较小的高频、低ESR、低ESL电容,以便衰减反馈环路中的高频噪声,从而确保电源开关波形的纯净和低抖动。这样的电容对于那些受电流比较器输入噪声影响较大的电流模式电源很有帮助。CTHP应远小于CTH,并且仅在高频(范围4)下发挥作用。对于电源环路增益,CTHP可帮助在fSW/2处实现所需的8 dB以上衰减。图9显示了增加CTHP如何有助于降低较高频率下的A(s)增益。图10表明,增加CTHP会降低较高频率下的电源环路增益,进而可以衰减高频噪声。只要CTHP保持较小的值(<

图9.在较高频率下,CTHP能够衰减增益和噪声。

图10.适当设计的CTHP值可以衰减高频环路增益,而对电源瞬态响应的影响非常小。
环路补偿设计的简单三步流程
对ZITH网络有了清晰直观的了解之后,只需简单三步就能针对给定的目标环路带宽完成2型补偿设计。设计人员可以使用LTpowerCAD电源设计工具或台式波特图测量设备进行设计。
第1步:设置目标环路带宽的RTH值
从概念上讲,对于给定的目标环路带宽fBW,RTH值可以根据公式1直接计算得出。在环路带宽(交越频率)处,环路增益幅度为0 dB,即1:

因此,RTH值可通过以下步骤得出:


实际上,如果不方便用典型控制器IC来估算GCV值,那还可以使用ADI公司的LTpowerCAD程序来代替。LTpowerCAD是一款完整的电源设计工具,可以为功率级和环路补偿优化提供支持2。在LTpowerCAD环路设计页面上,用户可以先预设一个非常大的CTH值,然后从较小的RTH开始,逐渐增加,直至达到目标环路带宽。在这种情况下,采用电流模式控制,相位裕量最好大于60°。如果裕量不够大,则只需减小RTH值以降低环路带宽,直至实现所需的60°相位裕量。参见图11。

图11.环路设计第1步:预设一个较大的CTH值,然后从小到大增加RTH,直至达到目标电源带宽。
如果不使用LTpowerCAD,并且实验室中使用波特图测量设备,设计人员仍然可以从较大的CTH值开始,然后将RTH从非常小的值增加到很大的值,直至在测量中实现所需的环路带宽和相位裕量。
第2步:设置CTHP值以衰减噪声
接下来,使用LTpowerCAD工具或波特图测量,CTHP应从0开始增加,直到fSW/2处的环路增益低于-8 dB,从而达到衰减开关噪声的目的。此外,电源增益裕量(相位裕量 = 0时)也应为8 dB至10 dB。参见图12。

图12.环路设计第2步:CTHP从0开始增加,直到在fSW/2处实现8 dB的环路增益衰减。
第3步:设置CTH值以实现快速瞬态建立时间
在此步骤中,应减小非常高的预设CTH值,直到电源的相位裕量开始明显下降,这意味着fZ1正在接近环路带宽。较小的CTH有助于缩短负载瞬态建立时间。然而,如果CTH太小,最终将影响电源相位裕量。应保持45°至60°的相位裕量。参见图13。

图13.环路设计第3步:减小CTH值以缩短瞬态时间,直到电源相位裕量开始下降至所需的60°值。
(可选)第4步:通过电阻分压器电容获得进一步提高相位
如果调整CTH、CTHP和RTH仍不能实现所需的环路带宽和稳定裕量,则可以添加前馈电容CFF和滤波电容CFLT,以进一步调整电阻分压器网络。这一步的目的是提升目标环路带宽周围的相位,通常借助CFF来实现。这可以在LTpowerCAD环路补偿页面上通过打开Feedback选项卡来完成。图14为电阻分压器电容设计的正确和错误范例。正确范例能大大提高目标环路带宽频率下的相位。

图14.可选的额外步骤:使用反馈电阻分压器网络调整相位提升:(a)最优设计;(b)相位提升频率太低;(c)相位提升频率太高。
使用LTpowerCAD一键式环路设计进一步简化设计
为了进一步简化环路设计工作,ADI公司的LTpowerCAD程序基于本文介绍的三步方法,提供了一键式自动环路补偿设计功能。如图15所示,用户可以设置目标环路带宽,通常设置在开关频率的1/10到1/5范围内,然后单击“Use Suggested Compensation”复选框。LTpowerCAD程序将提供一组RTH、CTH和CTHP值,以实现目标环路带宽和良好的相位裕量。如果无法实现目标带宽或相位裕量,用户可以自行降低目标环路带宽频率。如果不想使用此一键式环路设计功能,而是希望手动设计和微调环路与负载瞬态性能,用户可以取消选中“Use Suggested Compensation”复选框,禁用该功能。

图15.使用ADI LTpowerCAD设计工具中的“Use Suggested Compensation”选项,一键完成自动环路补偿设计。
结论
对于采用常见电流模式控制架构的开关电源,使用本文介绍的简单三步方法可以轻松完成环路补偿设计和优化。LTpowerCAD设计工具能够提供实时结果,其一键式自动环路设计功能大大简化了设计和优化过程。
参考文献
1 Henry Zhang。“AN-149:开关模式电源的模型和环路补偿设计”。ADI公司,2015年1月。
2 Henry Zhang。“AN-158F:使用LTpowerCAD设计工具通过简单五步设计电源参数”。ADI公司,2015年9月。
3 Henry Zhang。“了解电源环路稳定性和环路补偿——第1部分:基本概念和工具”。ADI公司,2022年1月。
4 Henry Zhang。“了解电源环路稳定性和环路补偿——第2部分:不寻常或有问题的波特图”。ADI公司,2024年6月。
猜你喜欢